B-Blend Series Antioxidant

RICHNOX B-BLENDS FOR PROCESSING AND LONG-TERM STABILIZER SYSTEM
Characterization: RICHNOX B215/B215G – a processing and long-term thermal stabilizer system - is a SYNERGISTIC BLEND OF RICHNOX 1010 AND RICHFOS 168.
RICHNOX B215-Chemical Name: RICHNOX 1010 TETRAKIS-[3-(3,5-DI-TERT-BUTYL-4-HYDROXY-PHENYL)PROPIONATE]
RICHNOX B215-CAS Number: 6683-19-8
RICHNOX B215 G-Chemical Name: RICHFOS 168 TRIS(2,4-DI-TERT-BUTYLPHENYL)PHOSPHITE
RICHNOX B215 G-CAS Number: 31570-04-4
Structure:

RICHNOX B225 – a processing and long-term thermal stabilizer system - is a SYNERGISTIC BLEND OF RICHNOX 1010 AND RICHFOS 168.
RICHNOX B225-Chemical Name: RICHNOX 1010 TETRAKIS-[3-(3,5-DI-TERT-BUTYL-4-HYDROXY-PHENYL)PROPIONATE]
RICHNOX B225-CAS Number: 6683-19-8
RICHNOX B225 G-Chemical Name: RICHFOS 168 TRIS(2,4-DI-TERT-BUTYLPHENYL)PHOSPHITE
RICHNOX B225 G-CAS Number: 31570-04-4
Structure:

RICHNOX B220/B220 G

RICHNOX B-BLENDS FOR PROCESSING AND LONG-TERM STABILIZER SYSTEM
Characterization: RICHNOX B561/B561G – a processing and long-term thermal stabilizer system - is a SYNERGISTIC BLEND OF RICHNOX 1010 AND RICHFOS 168.
RICHNOX B561-Chemical Name: RICHNOX 1010 TETRAKIS-[3-(3,5-DI-TERT-BUTYL-4-HYDROXY-PHENYL)PROPIONATE]
RICHNOX B561-CAS Number: 6683-19-8
RICHNOX B561 G-Chemical Name: RICHFOS 168 TRIS(2,4-DI-TERT-BUTYLPHENYL)PHOSPHITE
RICHNOX B561 G-CAS Number: 31570-04-4
Structure:

RICHNOX B125

High Performance Stabilizer System For Polyolefins
Characterization: RICHNOX HP2215 –provides effective protection of polymer properties across a broad range of processing and long-term thermal stabilizer system - is a SYNERGISTIC BLEND hindered phenolic,phosphite and phophonite.
Composition: RICHNOX HP2215 is a synergistic mixture of sterical hindered phenolic ,phosphit and phosphonite co-stabilizers.

RICHNOX HP2225

RICHNOX B-BLENDS FOR PROCESSING AND LONG-TERM STABILIZER SYSTEM
Characterization: RICHNOX B900 – a processing and long-term thermal stabilizer system - is a SYNERGISTIC BLEND OF RICHNOX 1076 AND RICHFOS 168.
RICHNOX B900-Chemical Name: RICHNOX 1010 TETRAKIS-[3-(3,5-DI-TERT-BUTYL-4-HYDROXY-PHENYL)PROPIONATE]
RICHNOX B900-CAS Number: 6683-19-8
RICHNOX B900 G-Chemical Name: RICHFOS 168 TRIS(2,4-DI-TERT-BUTYLPHENYL)PHOSPHITE
RICHNOX B900 G-CAS Number: 31570-04-4
Structure:

RICHNOX B931

RICHNOX B-BLENDS FOR PROCESSING AND LONG-TERM STABILIZER SYSTEM
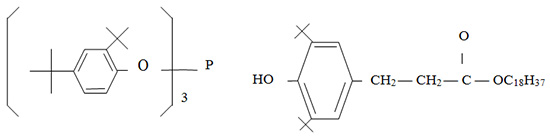
Characterization: RICHNOX B921 – a processing and long-term thermal stabilizer system - is a SYNERGISTIC BLEND OF RICHNOX 1076 AND RICHFOS 168.
RICHNOX B921-Chemical Name: RICHNOX 1076 OCTADECYL-3-(3,5-DI-TERT-BUTYL-4-HYDROXYPHENYL)PROPIONATE
RICHNOX B921-CAS Number: 2082-79-3
RICHNOX B921 G-Chemical Name: RICHFOS 168 TRIS(2,4-DI-TERT-BUTYLPHENYL)PHOSPHITE
RICHNOX B921 G-CAS Number: 31570-04-4
Structure:

RICHNOX B-BLENDS FOR PROCESSING AND LONG-TERM STABILIZER SYSTEM
Characterization: RICHNOX B911(G) – a processing and long-term thermal stabilizer system - is a SYNERGISTIC BLEND OF RICHNOX 1076 AND RICHFOS 168.
Chemical Name: RICHFOS 168 TRIS(2,4-DI-TERT-BUTYLPHENYL)PHOSPHITE
CAS Number: 31570-04-4
Structure:

RICHNOX B1411

RICHNOX B1412/B1412 G

Antioxidant Blend of processing and Long-Term Thermal Stabilization for Polyamides
Characterization: RICHNOX B1171is a blend of a hindered phenolic antioxidant and a phosphite useful for the stabilization of polyamides and other polymers.
Chemical Name: 48-52% RICHFOS 168+48-52% RICHNOX 1098
CAS Number: Preparation
Structure:

RICHNOX B2777

RICHNOX B2888

RICHNOX B813

RICHNOX B815

RICHNOX B817

RICHNOX B834

RICHNOX B835

RICHNOX B837

RICHNOX B873

RICHNOX B875

RICHNOX B877

RICHNOX B2714

RICHNOX B311

RICHNOX B313

RICHNOX B678

RICHNOX B1189

RICHNOX B501W