PP Clarifier And Nycleator

High Performance Sorbitol Based Clarifying Agent for Polypropylene
Characterization: PP CLARIFIER 2868 is a high performance sorbitol based clarifying agent that Reduces haze and enhances the clarity of polypropylene through nucleation of The polymer. This also leads to enhanced stiffness of the molded part and to Shorter cycle times during the molding process. PP CLARIFIER 2868 is produced using a highly sophisticated process that Makes it a unique product for clarifying polypropylene.
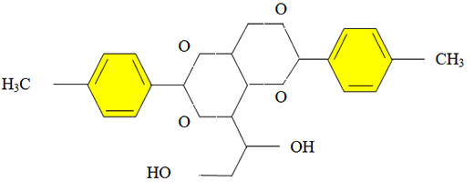
Chemical: Di-paramethylbenzylidene sorbitol
CAS Number: 54686-97-4 ,87826-41-3
Structure:

RICH CLARIFIER 3868

HIGH PERFORMANCE NUCLEATING AGENT(PHOSPHATE TYPE)
Characterization: RICHSTAB NA 11 –is a high performance for semi-crystalline polymers.Especially Used in Polypropylene and PBT to improve the transpancy and reduce the cycle time.
Chemical: Sodium 2,2’-Methylene Bis-(4,6-di-tert-butylphenyl) Phosphate
CAS Number: 85209-91-2
Structure:

RICHSTAB SB-UF

RICHSTAB ALPTBBA