Oligomeric Hindered Amine Light Stabilizer (HALS)
Characterization: RICHVIN 622 is the light stabilizer of all applications calling for low volatility and Minimal migration, because of its oligomeric structure with high molecular weight. Furthermore RICHVIN 622 is effective as antioxidant and contributes significantly to the Long term heat stability of polyolefins and tackifier resins.
Chemical Name: Butanedioic acid, dimethylester, polymer with 4-hydroxy - 2,-2 ,6,6 – tetramethyl - 1-piperidine ethanol
CAS Number: 65447-77-0
Structure:

Low Molecular Weight Hindered Amine Light Stabilizer(HALS)
Characterization: RICHVIN 770 is the light stabilizer of all applications calling for low volatility and Minimal migration, It provides excellent light stability for thick sections but can also be used for articles with a high surface area such as films and tapes.
Chemical Name: Bis (2,2,6,6-tetramathyl-4-piperidyl) sebacate
CAS Number: 52829-07-9
Structure:

LIQUID TYPE HINDERED AMINE LIGHT STABILIZER(HALS)
Content : Mixture of Bis(1,2,2,6,6-Pentamethyl-4-Piperidinyl) sebacate, MW.:509,CAS NO: 41556-26-7 75-85% and Methyl(1,2,2,6,6-pentamethyl-4-piperidinyl)sebacate, MW.:370,CAS NO:82919-37-7 15-25%
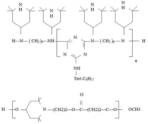
HINDERED AMINE LIGHT STABILIZER(HALS)
Characterization: RRICHVIN 944 is a high molecular weight HALS type STABILIZER, lt shows excellent compatibility, high resistance to extraction and low volatility. RICHVIN 944 have very compatible feature with polymer, it is a excellent light stabilizer.
Chemical Name: POLY[[6-1,1,3,3-tetramethylbutyl]amino]1,3,5-triazine-2,4-diyl][2,2,6,6,-Tetramethyl-4-piperidinyl)imino]-1,6-hexanediyl[(2,2,6,6,-tetramethyl-4-Piperidinyl)imino]])
CAS Number: 71878-19-8
Structure:

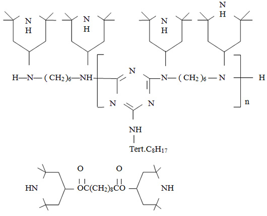
SYNERGISTIC MIXTURE OF HINDERED AMINE LIGHT STABILIZER(HALS)
Characterization: RICHVIN 783 is a synergistic mixture of RICHVIN 944 and RICHVIN 622 .It is a versatile HALS with outstanding extraction resitance,low gasfading,and low pigment interaction.RICHVIN 783 is especially used for LDPE,LLDPE,HDPE films,tapes and thick sections and PP fibers ,films.It is also good choice for thick sections where indirect food contact approval is required. lt shows excellent compatibility, high resistance to extraction and low volatility.
Chemical Name: POLY[[6-1,1,3,3-tetramethylbutyl]amino]1,3,5-triazine-2,4-diyl][2,2,6,6,-Tetramethyl-4-piperidinyl)imino]-1,6-hexanediyl[(2,2,6,6,-tetramethyl-4-Piperidinyl)imino]])
Butanedioic acid,dimethylester,polymer with 4-hydroxy-2,2,6,6-Tetramethyl-1-piperidine ethanol
CAS Number: RICHVIN 944-70624-18-9 and RICHVIN 622-65447-77-0
Structure:

MONOMERIC HINDERED AMINE LIGHT STABILIZER(HALS)
Characterization: RICHVIN 119 is a high molecular weight HALS. It shows excellent performance over other commercial HALS is that it enhances the color yield of the pigmented polyolefin articles.It shows good compatibility, high resistance to extraction and low volatility. RICHVIN 119 have very compatible feature with polymers, it is a excellent light stabilizer and also effective as antioxidant and contributes
Significantly to the long-term heat stability.
Chemical Name: 1,3,5-Triazine-2,4,6-triamine,N,N’’’-[1,2-ethane-diyl-bis[[[4,6-bis-[butyl(1,2,2,6,6-pentamethyl-4-piperidinyl)
Amino]-1,2,5-triazine-2-yl]imino]-3,1-propanediyl]]bis(N’,N”-dibutyl-N’,N”-bis(1,2,2,6,6-4-piperidinyl)
CAS Number: 106990-43-6
Structure:

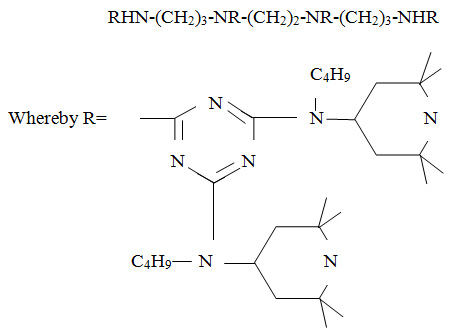
Synergistic Mixture of Monomeric and Oligomeric Hindered Amine Stabilizer
Characterization: RICHVIN 111 is a UV stabilizer system. It shows excellent performance over other commercial HALS is that its compatibility in the pigmented polyolefin articles.It is recommended for use in powder and industrial coatings as light stabilizer.It is effective as an antioxidant and also shows triboelectric charging activity for powder coatings. It shows good compatibility, high resistance to extraction and low volatility. Significantly to the long-term heat stability.
Chemical Name: Butanedioic acid, dimethylester, polymer with 4-hydroxy - 2,-2 ,6,6 – tetramethyl -1-piperidine ethanol
CAS Number: 65447-77-0
Structure:

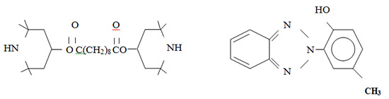
SYNERGISTIC MIXTURE OF HINDERED AMINE LIGHT STABILIZER(HALS)
Characterization: RICHVIN 791 is a synergistic mixture of RICHVIN 944 and RICHVIN 770 .It is a versatile HALS with outstanding extraction resitance,low gasfading,and low pigment interaction.RICHVIN 791 is especially used for PP thick sections which offers excellent surface protection.It is also shows high stabilization efficiency in PP tapes and PP/EPDM blenbs.It is also good choice for thick sections where indirect food contact approval is required. Ex:automotive bumpers,fascia,garden furniture etc.
Chemical Name: POLY[[6-1,1,3,3-tetramethylbutyl]amino]1,3,5-triazine-2,4-diyl][2,2,6,6,-
Tetramethyl-4-piperidinyl)imino]-1,6-hexanediyl[(2,2,6,6,-tetramethyl-4-Piperidinyl)imino]]) Bis (2,2,6,6-tetramethyl-4-piperidyl) sebacate
CAS Number: RICHVIN 944 70624-18-9 and RICHVIN 770 52829-07-0
Structure:

Synergistic Hindered Amine Light Stabilizer (HALS)+UV Absorber System
Characterization: RICHVIN 3018 is the light stabilizer of all applications calling for low volatility and Minimal migration, It provides excellent light stability for thick
sections but can also be used for articles with a high surface area such as films and tapes.
Chemical Name: Bis (2,2,6,6-tetramathyl-4-piperidyl) sebacate and 2-(2’-Hydroxy-5’-methylphenyl) benzotriazole
CAS Number: 52829-07-9 and 2440-22-4
Structure:

RICHVIN C353
Low Molecular Weight Hindered Amine Light Stabilizer(HALS)
Characterization: RICHVIN 4050 is the light stabilizer of all applications calling for low volatility and Minimal migration, It provides excellent light stability for thick
sections but can also be used for articles with a high surface area such as films and tapes.
Chemical Name: N,N’-bisformyl-N,N’-Bis -(2,2,6,6-tetramathyl-4-piperidyl) hexamethylenediamine
CAS Number:124172-53-8
Structure:

RICHVIN 3346
LIQUID TYPE HINDERED AMINE LIGHT STABILIZER(HALS)
Characterization: Mixture of
Bis(1,2,2,6,6-Pentamethyl-4-Piperidinyl) sebacate, MW.:509,CAS NO: 41556-26-7 Methyl(1,2,2,6,6-pentamethyl-4-piperidinyl)sebacate, MW.:370,CAS NO:82919-37-7
RICHVIN 494
RICHVIN 492
RICHVIN HN-1500