Thiosynergist heat stabilizer
Characterization: RICHNOX DSTDP is a one kind of dialkylester of thiodipropionic acid. It is used as a heat stabilizer in combination with the hindered phenolic antioxidant to enhance its performance.
Chemical Name: Dioctadecyl 3,3’-thiopropionate
CAS Number: 693-36-7
Structure:

Thiosynergist heat stabilizer
Characterization: RICHNOX DLTDP is a one kind of dialkylester of thiodipropionic acid. It is used as a heat stabilizer in combination with the hindered phenolic antioxidant to enhance its performance.
Chemical Name: Didodecyl 3,3’-thiopropionate
CAS Number: 123-28-4
Structure:

Thiosynergist heat stabilizer
Characterization: RICHNOX DTTDP is a one kind of dialkylester of thiodipropionic acid. It is used as a heat stabilizer in combination with the hindered phenolic antioxidant to enhance its performance.
Chemical Name: Ditridecyl-thiopropionate
CAS Number: 10595-72-9
Structure:

High Molecular Weight Thioester Antioxidant
Characterization: RICHNOX 412S is a low volatility,high molecular weight,sulfur-containing antioxidant for polyolefins and engineering thermoplastics.Especially recommend for high temperature and long term applications. It is used as a heat stabilizer in combination with the hindered phenolic antioxidant to enhance its high performance.
Chemical Name: Pentaerythrityl Tetrakis(β-laurythiopropionate)
CAS Number: 29598-76-3
Structure:

HINERED PHENOLIC ANTIOXIDANT FOR PROCESSING AND LONG TERM THERMAL STABILIZATION
Characterization: RICHNOX 565 – is a high molecular weight,non-staining ,with multifunctional hindered phenolic antioxidant for processing and long-term thermal stabilizer system in unsaturated elastomers.
Chemical Name: 2,6-di-tert-butyl-4-(4,6-bis(octylthio)-1,3,5-triazin-2-ylamino)phenol
CAS Number: 991-84-4
Structure:

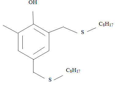
Multifunctional Phenolic Antioxidant for Processing and Long –Term Thermal Stabilization of Elastomers and Plastics
Characterization: RICHNOX 1520 is a liquid phenolic antioxidant for organic substrates such as elastomers,plastics,adhensives,sealants,oils and lubricants.It effectively protects the substrate against thermo-oxidative degradation during processing and long-term heat aging.It is non-staining,non-discoloring,low in volatility and stable to heat and light.
Chemical Name: 4,6-Bis(Octylthiomethyl)-o-Cresol
CAS Number:110553-27-0
Structure:

Multifunctional Phenolic Antioxidant for Processing and Long –Term Thermal Stabilization of Elastomers and Plastics
Characterization: RICHNOX 1726 is a multifunctional phenolic antioxidant for organic substrates such as elastomers,plastics,adhensives,sealants,oils and lubricants.It effectively protects the substrate against thermo-oxidative degradation during processing and long-term heat aging.It is a non-staining,non-discoloring,low in volatility and stable to heat and light.
Chemical Name: 4,6-Bis( Dodecylthiomethyl)-o-Cresol
CAS Number: 110675-26-8
Structure:
